Bu sefer göreceklerimize mental olarak daha hazırlıklıyız. Trakya havzası ve Ergene hakkında geçmişte de çok fazla haber yaptık ve özellikle Ergene’nin kirliliği konusunda radikal bir değişiklik olmadığını biliyoruz.
YAZI: Alev KARAKARTAL, Burak ALTINOK
GOPRO ÇEKİMLERİ, VİDEO ve FOTOĞRAFLAR: Gürcan ÖZTÜRK
Marmara Denizi’ndeki müsilaja neden olan karasal kirliliğin izindeki yolculuğumuzun son durağı Tekirdağ. Buradaki en önemli uğrak noktamız ise dünyanın en kirli sularından biri olarak tanımlanan ve Ege’ye dökülmesine rağmen bölgedeki yüzlerce tesisin atık sularının derin deşarjla Marmara Denizi’ne gönderildiği Ergene Nehri.
Sabahın erken saatlerinde koyulduğumuz yolda, İstanbul’un kaosundan çıkmayı başarabildiğimiz noktadan itibaren bize günebakan çiçekleri, sonbaharın rengine bürünmüş ovalar, tarım arazileri eşlik ediyor.
Bu sefer göreceklerimize mental olarak daha hazırlıklıyız. Trakya havzası ve Ergene hakkında geçmişte de çok fazla haber yaptık ve özellikle Ergene’nin kirliliği konusunda radikal bir değişiklik olmadığını biliyoruz.
Tekirdağ’daki mihmandarımız meslektaşımız Serap Cömertoğlu İşcan. İlk randevumuz Çorlu Belediye Başkanı Ahmet Sarıkurt ile. Buluşur buluşmaz biz, İşcan ve başkanın ekibiyle birlikte küçük bir konvoy halinde Ergene’ye deşarj yapılan noktaya doğru hareket ediyoruz.

Marmara’nın atık kirliliğinin peşinde yola düştüğümüz yaklaşık iki ay boyunca, hemen her ilde o bölgeyi ve denizi zehirleyen akarsulara yaklaştıkça aldığımız kesif, keskin, genzimizi hatta akciğerlerimizi yakan kokudan İstanbul’a döndüğümüzde bile bir türlü kurtulamamıştık. Tekirdağ’da da deşarj noktalarına yaklaştıkça, tanıdık hale gelen aynı keskin koku bizi karşılıyor. Ve elbette köpürerek akan simsiyah su… Bu noktalar, kanserin ve akciğer hastalıklarının yüksek oranda görüldüğü ve ironik biçimde eski adı “Sağlık Mahallesi” olan “Ergene”ye oldukça yakın.

Yolda yavaş yavaş çiseleyen yağmurun şiddetini artırmasına rağmen ekip pes etmiyor. Belediye Başkanı’yla yağmur altında ve güçlenen rüzgara rağmen röportaj yapmayı başarıyoruz:
“Bu su, Çorlu ve Ergene’nin yanı sıra Kapaklı, Çerkezköy civarında bulunan yüzlerce fabrikanın oluşturduğu sonuç. Bunun temel nedenlerinden ilki yasal mevzuatların yetersizliği, ikincisi ise denetim eksikliği. Para ile doğa arasındaki tercihi paradan yana kullanan ve denetimden kaçmak için elinden geleni yapan, gözünü para hırsı bürümüş insanları da unutmamak lazım.”
AHMET SARIKURT, ÇORLU BELEDİYE BAŞKANI
Karşımızda yıllardır insana, hayvana, doğanın kendisine, bütün havzaya zarar vererek, yüzlerce kilometre boyunca akmaya devam eden bir su ve bunun en azından bir kesiminin geçtiği bölgenin yerel idarecisi olunca soru belli: Bu kırım neden önlenemiyor?
Yanıt, “faili meçhul” oluyor: “Bu durumun sorumluluğunun paylaşılmasıyla ilgili yasalar bazı tarifler yapmış. Çevre Kanunu’nda var, Çevre Bakanlığı’nın yetkileriyle ilgili olanlar, Belediyelerle ilgili olanlar var. Organize sanayi bölgeleriyle ilgili ayrı düzenlemeler yapıldı, il özel idarelerinin, DSİ’nin ayrı yetkileri var. Bu kadar fazla yetki ve sorumluluk dağıtımı olunca, ek olarak da mevzuatların yetersizliği ve yazıldığı biçimde uygulanmaması da eklenince sonuç böyle “faili meçhul” gibi oluyor.”
Ergene Nehri, Trakya’nın kuzey doğusundan, Kırklareli il sınırlarındaki Yıldız Dağları’ndan yedi ayrı kaynaktan doğuyor. Tekirdağ İli sınırlarını geçerek 283 km yol kat ettikten sonra Edirne’de Meriç Nehri’ne bağlanıyor. Meriç, buradan Saroz Körfezi üzerinden Ege Denizi’ne dökülüyor.

Nehir, Türkiye’de belirlenmiş 23 havzadan biri olan ve Kırklareli, Edirne ve Trakya’nın büyük bölümünü kapsayan Ergene-Meriç Havzası’nın yüzeysel sularının en önemlisi.
Ancak, Trakya, özellikle de Tekirdağ, İstanbul’da odaklanan ağır sanayinin çevre illere yayılmasının ağır sonuçlarını yaşarken en büyük kurban da bu nehir oldu. Bölge, ilk “öldürücü darbe”yi 1980’lerin ortasında ağırlıklı olarak Kazlıçeşme’de odaklanan deri sanayinin buraya taşınmasıyla aldı. Ardından tekstil ve plastik sanayinin akmasıyla durum kötüleşti. Plansız sanayileşme, bilinçsiz tarımsal uygulamalar ve başarısız atık su yönetimi nedeniyle o yıllardan bu yana en kirli seviye olan 4. sınıf su statüsünde aktı; sadece çevresini ve burada yaşayanları değil, Meriç Nehri’ni, Saros Körfezi’ni, Kuzey Ege’yi zehirledi.

2020’de dönemin Başbakanı Recep Tayyip Erdoğan’ın imzasıyla radikal bir karar alındı. Bilim insanlarının, sivil toplumun, uzmanların tüm itirazlarına, uyarılarına rağmen nehrin taşıdığı tüm atık sular toplanarak derin deşarjla Marmara Denizi’ne boşaltılacaktı.
Arıtmalar yeterli değildi, yayılı kaynaklardan gelen atıklar kontrol altına alınmamıştı. Yine de Kasım 2020 itibarıyla 2 binden fazla fabrikadan çıkan tüm atık sular 70 km’lik bir kolektör hattı ile karadan yaklaşık 4.5 km açığa ve denizde yüzeyden 47.5 metre derinliğe deşarj edilmeye başlandı. Bunun için de şirket temsilcilerinden oluşan ve başında Tekirdağ Valisinin bulunduğu Ergene Derin Deşarj A.Ş. adında bir şirket kuruldu.

Bu, 1989’da İstanbul Haliç’i “temizlemek için” hayata geçirilen ancak tüm Marmara’nın denizel ortamına büyük zarar veren derin deşarj uygulamasından hiç ders alınmadığını gösteriyordu, ancak bu büyük bir müjde gibi sunulmasını engellemedi.
Bilim insanları, Kasım-Aralık aylarında başlayan derin deşarj uygulaması ile eş zamanlı olarak Tekirdağ’dan Kumburgaz’a kadar olan bölüm ile Gelibolu’ya kadar olan bölümde çok ciddi canlı ölümleri gözlemlendiğini açıkladı. Yöre balıkçıları da söz konusu bölgede, 2021 senesi ocak – şubat aylarında ölerek kıyıya vuran balıkları ilgili mercilere bildirdiklerini duyurdu ama uygulamaya devam edildi.
Çevre Bakanlığı ise hazırladığı çevre durum raporlarında; yaptıkları araştırma, inceleme ve modelleme neticesinde derin deşarjın Marmara Denizi’ne etkisinin %1 ile sınırlı kalacağını tespit ettiklerini bildirdi.
O dönemden bu yana eleştirilerin odağındaki Ergene Derin Deşarj A.Ş.’nin Genel Müdür Vekili Murat Aktaş, bu yılın haziran ayında altyapı yatırımlarının mevzuata uygun olduğunu anlatırken aynı zamanda %100 arıtmanın mümkün olmadığını söylüyor. Denize verilen suyun 7 bin mikrosiemens/cm ile insan teması ve tarımsal kullanım için uygun olmadığını belirten Aktaş, buna rağmen bu tuzluluk oranının deniz için düşük olduğunu öne sürüyor. Ona göre Marmara’daki müsilaj sorununu derin deşarja bağlamak yanlış.
Başlangıçta yaklaşık 300 bin m3/gün olarak gerçekleşen toplam deşarj edilen atık suyun iki yıl sonra 500 bin m3/günü aştığı belirtiliyor. Boruları inşa eden Doğuş Holding, tanıtım sayfasında projenin tamamlanmasıyla yaklaşık 650 bin m3/gün arıtılmış atıksuyun deşarjının gerçekleştirileceğini bildirmiş.
2011’de yaşanan müsilajın ardından dönemin Orman ve Su İşleri Bakanlığı koordinasyonunda “Şafak Harekatı” olarak ilan edilen Ergene Havzası Koruma Eylem Planı açıklanmıştı. Plan sayesinde nehrin yine kıyılarında balık tutulan günlerine dönmesi, su kalitesinin 2. sınıf su kalitesi seviyesine erişmesi amaçlanıyordu. O günlerden bu yana kısmi iyileşmeler görülse de hedeflerin önemli bölümü bugüne dek gerçekleşmedi.

Ergene’yi “foseptik haline gelmiş Marmara Denizi’ne açılan bir kolektör” olarak tanımlayan Tekirdağ Namık Kemal Üniversitesi öğretim görevlisi Prof. Halim Orta, nehrin 2025 yaz sonu itibarıyla durumunu şöyle açıklıyor:
”Ergene’nin normal koşullarda ağustos ayındaki debisi yüzyıllardan beri 2 m3/ saniyedir. Ama son 40 yıldan bu yana ortalama 14-15 m3/saniyelere kadar çıkan debiyle akıyor. Ortalama debisi de 8-9 m3/saniyedir. Bu şunu gösteriyor: Sadece Tekirdağ’da etrafında yer alan ve çoğu son derece kirletici tekstil, deri sektöründe çalışan 3 bin 280 fabrikanın tamamına yakını atık suyunu, üstelik tek proses yaparak ve böylece arıttığını iddia ederek Ergene’ye veriyor.”
Dr. Akgün İlhan da 2023’te Marmara’ya deşarj edilen atık su miktarının 160 bin m3’e ulaştığını 2024’te ise 300 bin m3’e çıktığını ekliyor. 2024 yılında Tekirdağ’daki 14 OSB’den 6’sının arıtma tesislerinin tamamlandığı dikkate alınacak olursa, kalan 8’i de sistem bağlandığında atık suyun etkisi de artacak.
Prof. Orta, bu fabrikalar dahil Trakya’da kullanılan suyun %80 ila 85’i yer altı suyu olduğunu da hatırlatıyor; “Yeterli denetim olmayınca yer altı su kaynakları yılda ortalama 0,4 milyar m3 beslenebilirken 1 milyar m3’ün üzerinde su çekiliyor” diyor.1970’li yıllarda bölgede 10-30 m. olan yeraltı suyu tablası seviyesi günümüzde 80-200 metre seviyesine inmiş durumda.

Orta, suyun Meriç’le birleştiği yerlerdeki manzarayı da şöyle dile getiriyor: “İpsala’nın yaklaşık 7-8 kilometre kuzeyinde Meriç ile Ergene nehri birleşir. Birleştiği noktada suların kirlilik farkından dolayı birbiriyle karışmadığını görürsünüz. Bir süre ayrı ayrı akarlar. Tam o noktada her yıl toplu kefal ölümleri yaşanır. Yumurtlamak için girdikleri tatlı suda zehirlenerek ölür hayvanlar.
Ergene’nin etrafında yüklü bir nüfus yaşar. İnsanlar, hayvanlar… Biz, bu kirli sudan içen hayvanların etini sütünü kullanıyoruz. Meriç’le birleştiği yerin altında ise aynı su çeltiklerde kullanılır. Buradan çıkan pirinci de hepimiz tüketiyoruz. Ege Denizi’ne döküldüğü yerde Yunan balıkhaneleri, balıkçı barınakları vardır. Onlar da bu kirlilikten etkileniyor.“

2022’de Boğaziçi Üniversitesi Çevre Bilimleri Enstitüsü’nden uzmanlar, York Üniversitesi’nin öncülüğünde, 258 nehri içine alan ve dünya ölçeğinde yapılan “Dünya Nehirlerindeki İlaç Kirliliği” araştırması kapsamında Ergene Nehri’ni incelemişti. Aktif farmakolojik bileşenler açısından dünyanın en kirli %20’lik dilimde yer alan nehrin suyunda, antibiyotik ile ağrı kesici ilaçlarda kullanılan temel etkin maddelerin de yoğunluğu dikkat çekti.
Artan Nüfus Arıtma Faaliyetlerini de Etkiliyor
Çerkezköy- Çorlu-Muratlı-Lüleburgaz dörtgeni, sanayi yoğunluğu nedeniyle Türkiye’nin en fazla göç alan bölgelerinden biri. Ülkenin %3’ünü oluşturan Trakya’da İstanbul’un batısı dahil, toplam nüfusun yaklaşık olarak %25’i, yani 20 milyon kişi yaşıyor. Turistik kıyı şeridi de yazları nüfusun birkaç kat artmasına neden oluyor. Bu yerel nüfusun yapısını değiştirdiği gibi onları sağlıklı bir ortamda yaşatmak ve ekosistemi korumak da mümkün olmuyor.
Tekirdağ Su ve Kanalizasyon Müdürlüğü de artan nüfusa dikkat çekiyor ve özellikle başta sanayi tesisleri olmak üzere, yoğun olarak kullanılan yer altı sularının giderek azaldığına vurgu yaparak yakın gelecekte yaşanacak su krizine dikkat çekiyor.

Buna rağmen, 2025 verilerine göre, Büyükşehir Belediyesi, evsel atık su arıtma konusunda epey yol almış görünüyor.
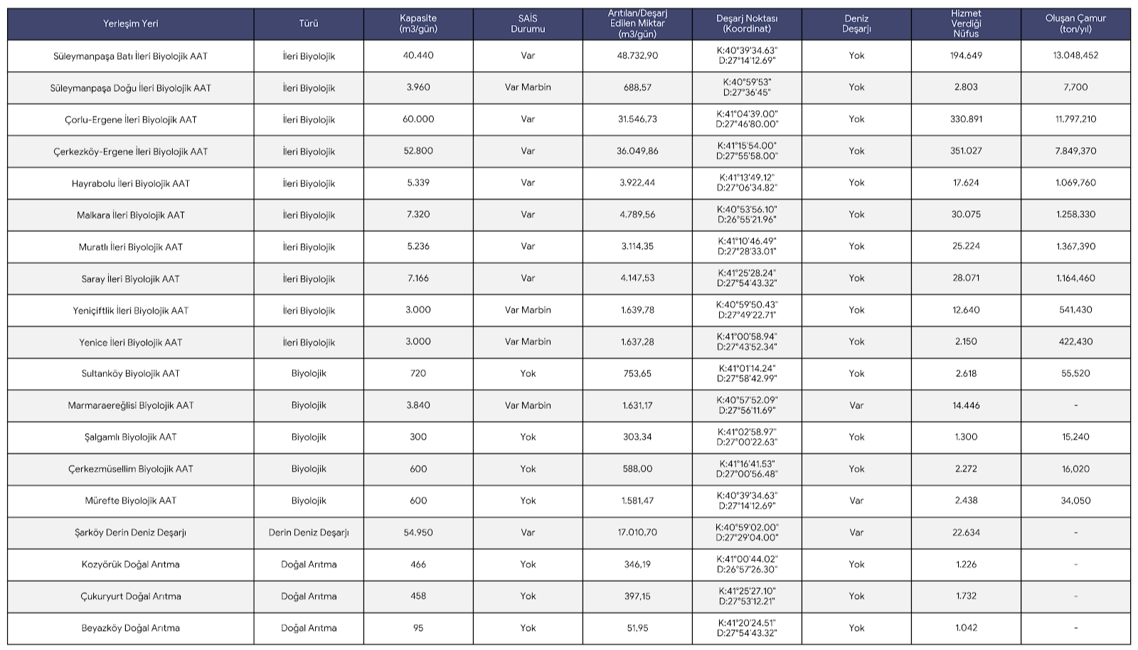
Evsel atık suların yüzde 95’i arıtılıyor. 18 arıtma tesisi var: 10 tanesi ileri biyolojik, 5’i biyolojik. Günde 190 bin metreküp arıtma kapasiteleri var, genelde 160 bin metreküp arıtıyorlar.

TESKİ Genel Müdürü Mehmet Ali Şişmanlar, arıtma tesisleri için en büyük sorunun önemli bir yatırım gerektirmesinde yattığını söylüyor. Bugünün kuruyla en az 500 milyon-1.5 milyar TL. arasında değişiyormuş maliyet. İller Bankası’ndan kredi talep etmişler, bekliyorlar. Ergene ile bağlantıları olmasa da taşıdığı kirliliğin kullandıkları yer altı suyu kuyularını etkilemiş olabileceğini düşünüyor.

Sorunun büyük olduğuna ve herkesin görevini yerine getirmesi gerektiğine vurgu yapan Şişmanlar’ın hedefinde bölgedeki organize sanayi bölgeleri ve onları denetlemekle görevli Çevre ve Sanayi ve Ticaret bakanlıkları var: “Velimeşe OSB Marmara’ya bağımsız olarak derin deşarj yapıyor mesela. Yaklaşık 4.5 km boyunca atık suyunu taşıyor. Neden diye sormayalım mı?”

Sadece Tekirdağ’daki 14 OSB’nin altısı Çorlu’da. Üstelik yenileri de planlanıyor. Sanayi tesislerinin önemli bir bölümü de bu OSB’lerin içinde. Hepsi atık sularını arıtarak verdiklerini söylüyor, ancak bir kolektör gibi akan Ergene Nehri onları doğrulamıyor.


2024 sonu itibarıyla durumu ise Prof. Mustafa Öztürk özetliyor: “Ergene derin deniz deşarjı projesi kapsamında yer alan 5 adet atık su arıtma tesisinden kaynaklanan günlük 460 bin m3 kapasiteli olmasına rağmen günlük 302 bin 400 m3 ila 345 bin 600 m3 arasında atık su arıtıldıktan sonra Marmara Denizi’ne veriliyor. Marmara DDD Sistemi ile sadece Çorlu Karma ve Deri OSB AAT atık suları; 2021 yılı Şubat ayından bu yana ortalama 12.000-15.000 m3/gün bir debi ile Marmara Denizi’ne deşarj ediliyor. “
Havzadan Marmara Denizi’ne deşarj edilen toplam fosfor yükü 125 bin 144 kg/yıl ve toplam kjeldahl azotu 1 milyon 261 bin 440 kg/yıl.
Rengarenk Sular, Gri Mahalleler
TESKİ Genel Müdürü’nün işaret ettiği Ergene’nin bir kolu üzerindeki Velimeşe, hiçbir yerleşimin olmadığı, olabildiğince kahverengi ve puslu bir alan. Sadece uzayıp giden fabrikalar… Suyun kenarına yaklaştığımızda, belirli yerlerinin mor, bazı yerlerinin kırmızı, yeşil ve beyaz aktığını görüyoruz. OSB içindeki boya fabrikalarının atık suları…

Bu noktada suya GoPro daldırmaya karar veriyoruz. Suyun üzerindeki gökkuşağı renkleri aşağıda bir bulamaca dönüşmüş. Suyun altı nehrin kaderi gibi; korkutucu bir karanlık.. Büyüklü küçüklü partiküller oradan oraya sürükleniyor, yaşam yok, sadece hayaletimsi fokurdamalar…
ERGENE NEHRİ GOPRO GÖRÜNTÜLERİ
Ama bu rengarenk su, Çevre Bakanlığı’na göre sorun değil. Prof. Orta, “O gördüğünüz renklere çok takılmayın” diyor. Çünkü, bakanlığın atık su yönetmeliğine göre “renk” kalite parametresi olmaktan çıkarıldı: “Yani bakanlık, ‘siz kırmızı akan suya kirli diyemezsiniz, başka deyişle içseniz de zarar vermez’ diyor.” Birkaç yıl önce epey mücadele vererek bakanlığı bu kararından vaz geçirmişler ancak kısa süre sonra tekrar suyun rengini kalite parametresi olmaktan çıkarmışlar.

Denetimleri Çevre Bakanlığı’na bağlı OSB’lerde bir sorun görüldüğünde alınan aksiyon çoğunlukla ceza kesmek oluyor. Nadiren kısa süreli kapatma görülüyor. Orta, “Ceza kesmek ne demek? Nasıl bir cezayla bunları caydıracaksınız, ıslah edeceksiniz? Ver bir milyon lira, sen kirletmeye devam et demek bu” diye isyan ediyor.

Bir sonraki durağımız, çocuklar dahil hemen herkesin hasta olduğu “Sağlık” veya yeni adıyla Ergene Mahallesi. Dağınık gecekondular, çok eski yapıların önünde oturan kadınlar, çocuklar, erkekler… İnsanlarla konuşmak için girdiğimiz, berber Seyhan Güler’e aldığımız ağır kokuyu soruyoruz, “Ne kokusu, şu anda burada hiç koku yok” diyor. Alışmışlar…

Dilovası’nda, Nilüfer Nehri çevresinde yaşamını sürdürmeye çalışan insanların yüzünde ve sesinde hissettiğimiz kaderine terk edilmiş duygusunun yarattığı öfkeyle karışık çaresizliği, bastırdıkları isyanları, bıkkınlıklarını bu mahallede daha çok hissediyoruz.
Yerelde çevre mücadelesi vermeye çalışan ve adını vermek istemeyen bir mahalleli konuşmak istediğimizde sesini yükseltiyor: “Ne yapacaksınız kardeşim beni, ünlü mü olacağım? Konuşuyoruz, konuşuyoruz hiçbir şey değişmiyor.”
Haksız değiller..
Mahalle bakkalında alışveriş yapanlarla konuşmak istediğimizde de istekli davranmıyorlar. Korkuyorlar mı, bu “gazeteci ziyareti”nden de bir sonuç çıkmayacağını mı düşünüyorlar, yüzlerinden anlayamıyoruz. Adlarının yazılmasını da istemiyorlar.
Bakkal da adını vermek istemiyor, ama anlatıyor: “Deri, tekstil ne varsa buraya getirdiler, bizim yer altındaki tüm suyumuzu bitirdiler. Rüzgar olmadığı bir gün sabah erkenden gelseniz, asıl kokuyu o zaman görürsünüz. Bu dereyi ıslah edemediler. Herhalde üstünü kapatmaları gerekecek. 1970 doğumluyum ben, bu derede yüzüyor, balık tutuyordum. Şimdi lağım faresi bile yaşamaz burada.”
Alışveriş yapan bir kadın, 14 yaşındaki kızının arkadaşının kanser hastalığı nedeniyle yaşamını yitirdiğini anlatıyor. Sokağın başında kavun satan Fehim Yıldırım da kısaca “Camları bile açamıyoruz işte, daha ne olsun” diye serzeniş ediyor.

80’li yıllara kadar domates ektiğini, elleriyle balık tuttuğunu anlatan bir diğer mahalleli Nazmi Bekir buradaki bir tekstil fabrikasından emekli. Bir tekstil fabrikasına sekiz saatlik mesaide 400-450 ton atık su kapasitesi tanındığını, ancak üç vardiya çalışan fabrikaların 24 saat için 450 ton atık gösterdiğini anlatıyor. Halkı unutup sermayeyi kolladığı için “en büyük suç devletin” ona göre.
Mahallede bize eşlik eden CHP Ergene İlçe Başkanı Ramadan Duran, arıtma tesislerinin henüz bitmediğini ve tam faaliyette olmadığını söylüyor
Derenin ve fabrikaların saldığı gazlar yüzünden son derece kirli havanın kokusunu artık hissetmediklerini, alıştıklarını anlatıyor ama geceleri kaçak salım yapıldığı için kokunun arttığını, bundan kaçamadıklarını da ekliyor. Bakanlığın sanayinin yoğunlaştığı Çorlu, Çerkezköy ve Ergene yerine Tekirdağ’da denetim yapan biriminin olmasını ise eleştiriyor; şikayet edildiğinde görevlinin bölgeye gelmesine kadar fabrikaların yapacağını yaptığını söylüyor.
Bölgeyi dolaşırken Ergene’nin hemen kıyısında, en büyük fabrikalardan Unilever’in yanından geçiyoruz. Fabrikanın hemen altından köpük köpük bir su akıyor. Şaşırma duygumuz körelmiş durumda artık ama üzgünüz. Belgeleyip devam etmekle yetiniyoruz.

Sıra konuştuğumuz hemen herkesin işaret ettiği Çorlu’daki Deri OSB’de. Harabe binaların kırık camlarından asılmış hayvan derilerine eşlik eden, hayatımızda soluduğumuz en yoğun, en ağır kokunun giysilerimize, derimize sindiğini hissediyoruz. Fotoğraf çekerken, giysilerimizi çekiştirerek burnumuzu kapatmak zorunda kalıyoruz. Ekipten Burak Altınok, “Bir an önce işimizi bitirip gidelim, yoksa hastanelik olacağım” diyor. Oysa insanlar yıllardır burada, bu koşullarda yaşıyor.

Yakındaki kıraathanede oturan 60’lı yaşlarında, mavi gözlü, fit görünümlü Beyti Mete, kendimize gelmemiz için bize çay ısmarlamayı teklif ediyor. Bizim burnumuzu kapatarak çekim yaptığımız Deri OSB’den emekli olmuş. Kendisi şanslıymış, çünkü orada aynı dönemde çalışan pek çok iş arkadaşı, genç yaşında vefat etmiş.

Biz onunla konuşurken, konudan haberdar bir Çorlulu vatandaş uzaktan bağırıyor: “Boşu boşuna uğraşıyorsunuz. Devlet Hastanesi’nin onkoloji bölümüne gidin, aradığınız bütün cevaplar orada!..”
Berber Güler de eliyle yolun aşağısını gösteriyor: “Ben Onur Market’in arkasında oturuyorum. OSB’ler, fabrikalar mahallelerin evlerin hemen dibinde. Şimdi de evimin bitişiğine ıslak mendil fabrikası yapıyorlar. Bizimle alay eder gibi bir de ‘fabrikanın hiçbir zararı olmayacak, aksine burası parfüm kokacak” diyorlar.
Halk Sağlığı uzmanı, Türk Tabipler Birliği (TTB) Halk Sağlığı Kolu Yürütme Kurulu üyesi, Prof. Gamze Varol da vatandaşların anlattıkları destekler nitelikte konuşuyor. Bölgedeki hastanelerin onkoloji servislerinin dolup taştığını, hastaların önemli bölümünün ise Ergene Havzası’ndan geldiğini anlatıyor.
Ergene Nehri’nde meslektaşlarıyla birlikte defalarca yaptıkları araştırmalarda tespit ettikleri kolorimetrik değerlendirme yapılmamış simsiyah akan ve son derece kötü kokan su için yetkililerin “gerekli denetimlerin yapıldığı ve sorun olmadığı” şeklindeki açıklamalarının ise inandırıcı olmadığına dikkat çekiyor.

2012 yılında bölgedeki sanayi bölgelerine yakınlıkla insanların kanser olması arasında bir korelasyon olup olmadığını araştıran bir çalışma yürüttüklerini anlatan Prof. Varol, o zamandan bu yana olumlu bir gelişme görmek yerine, tarım arazilerinin imara açılması, kentleşme, Marmara kıyılarda yapılaşmanın artması, yeni sanayi tesislerinin kurulmasına ya da var olanların kapasite artırımına izin verilmesi gibi uygulamaların üzerine derin deşarj eklendiğinde 2021 yılında müsilajın, artık bir “kriz” halinde görünür hale geldiğini söylüyor:
20 halk sağlığı uzmanıyla derin deşarj projesinin hemen başlangıcında şantiyeye girmişler. Yetkililerin kendilerine, “Zaten boşalıyor, neye karşı çıkıyorsunuz. Biz hiç değilse filtre takıp deşarj edeceğiz” dediklerini iletiyor ve O da pek çok kişi gibi su gerçekten tamamen arıtılıyorsa neden sulama, rekreasyon gibi alanlarda kullanılmadığını sorguluyor.
Bu ağır kirliliğin sonuçlarından biri olan müsilajın oluşturabileceği sağlık riskine ilişkin ise içinde çok sayıda bakteri ve virüs gaibi patojen mikroorganizmaların üremesine yol açacak bir ortam sağladığına dikkat çekiyor:
“Müsilaj, alerjik reaksiyonlara neden olabilir, içinde ürediği enfeksiyon etkenleri insanlarda gastroenterit gibi rahatsızlara yol açabilir, müsilajlı su ağız yoluyla alındığında ishal ya da ishalli hastalıklara neden olabilir, yaralanmış deri temasıyla dermatit, göz mukozasına temas ettiği durumda iltihap, konjonktivit ya da kadınlarda vajinit gibi akut sağlık sorunlara yol açabilir. “

Marmara içindeki tonlarca kirleticinin içindeki kurşun, civa, kadmiyum gibi ağır metallere de dikkat çeken Prof. Varol, balık ve midyeler yoluyla insan vücuduna giren bu maddelerin dokularda birikerek, kronik hastalıklar, nörogelişimsel hasarlar, çocuklar ve gebe kadınlarda kansere kadar varan ciddi sağlık etkilerine neden olduğunu da belirtiyor.
Halk sağlığını bütüncül olarak ele almak gerektiğini belirten Prof. Varol, sosyal ve ruhsal sağlığa da ayrıca vurgu yapıyor: “Yapılan çalışmalara göre, Marmara kıyılarında yaşayan topluluklarda çevresel kaygı, belirsizlik ve geçim sıkıntısının tetiklediği stres ve depresyon vakaları artıyor. Bunu sadece bir çevresel kirlilik olarak algılamıyorlar. Aynı zamanda yaşam alanlarını, estetik değerlerini, geleceğini, gelecek güvencesini ya da geleceğe dair beklentilerini, hayallerini olumsuz etkileyen bir deneyim olarak yaşıyorlar. Bu kaygı, beslenmeden çocuk sahibi olmaya kadar kararlarını etkiliyor, özellikle genç nesilde eko-anksiyeteyi artırıyor. Bunlar insanların ruhsal sağlığını olumsuz etkileyen, güvenlik algısını zedeleyen ciddi problemler. Sosyal açıdan ise balıkçılık gelirlerindeki düşüş, turizm gelirlerinin azalması ve kıyı ekosistemine dayalı geçim kaynaklarının zayıflaması,özellikle küçük ölçekli işletmelerde, kıyı topluluklarında işsizlik ve gelire bağlı toplumsal eşitsizlikleri derinleştiriyor.”
Prof. Orta da 2017’de Edirne’de idarecilik yaptığı dönemde, Trakya Üniversitesi’ne iki yeni bölüm açtıklarını anlatıyor: Biri onkoloji diğeri ruh ve sinir hastalıkları hastanesi: “Çünkü hastalara yanıt veremez hale geldik. Toplumun yapısı hem sosyolojik anlamda hem de sağlık anlamında inanılmaz biçimde bozuldu. Ben o hastanede her yıl Ramazan ayında da özellikle çocuk onkoloji servislerine ziyaret yaparım ve iki-üç gün kendime gelemem. Keşke anlattıklarımıza ‘palavra’ diyenler de benimle bu ziyaretlere gelseler…”
2011-2016 yıllarında Sağlık Bakanlığı, “Kocaeli, Antalya, Tekirdağ, Edirne ve Kırklareli’nde Çevresel Faktörlerin Halk Sağlığı Üzerine Etkilerinin Değerlendirilmesi” başlıklı bir çalışma yürüttü. Araştırma sonucunda Ergene havzasında hem suda hem de yetiştirilen ürünlerde toksik bileşenlerin çok yüksek oranda olduğu; arsenik, alüminyum, kurşun, krom kirliliği nedeniyle suların “zehirli” olduğu tespit edildi. Araştırmada yer alan akademisyenlerden Dr. Bülent Şık, kanser vakalarında çevre kirliliğinin etkisine işaret eden raporları, daha önce duyurulduğu üzere açıklanmayınca, sonuçları Nisan 2018’de Cumhuriyet Gazetesi’nde yayımlanan bir yazı dizisiyle duyurdu. Bunun üzerine “yasaklanan gizli bilgileri temin etme ve açıklama” suçlamasıyla 12 yıla kadar hapis cezasıyla yargılandı. Sürecin sonunda beraat etse de bu çalışmanın sonuçları hiç yayımlanmadı, yayımlayanlara da yayın yasağı getirildi.

ERGENE NEHRİ, TEKİRDAĞ, FOTOĞRAF: GÜRCAN ÖZTÜRK
Gıda mühendisi Dr. Bülent Şık, 2021 müsilaj krizi sırasında ise müsilajın salgın hastalıklara yol açabileceği uyarısı yapmış; Bianet’te yayımlanan “Meseleleri birbirine bağlamak” serisinin, Marmara’nın ölümü: İstanbul kolera salgınına hazır mı?” başlıklı yazısında müsilajın kolera ve benzeri salgınlara yol açabileceği uyarısında bulunmuştu.
Onunla, aradan geçen dört yıldan sonra sonra, sorun ağırlaşarak devam ederken, yazdığı makaleye ilişkin tekrar konuştuk.
O yıllarda ifade ettiği teorisinin halen arkasında olduğunu söyleyen Şık, Marmara Denizi ekosisteminin bir “çöküş” halinde olduğunu, kirlilik yüzü azaltılsa ve zaman içinde temizlense bile artık eskiye dönüş olmayacağını söylüyor. “Kolera uyarısını” ise şöyle temellendiriyor: “Ekosistem çöktüğünde neler olabilir sorusunun hiçbir akademik yanıtı yok. Bu belirsizliğin artması halinde sistem iyiye doğru evrilmez. Bir dengelenme haline ulaşması ise bazen milyonlarca yıl sürebilir. Bu haldeki ekosistem, salgın riski yaratır mı diye sorarsanız, yanıtım evet olur. Kolera bakterisi de (vibrio cholerae) aynı bu şekildeki ortamlarda; ekosistemin çöktüğü, ağır tahribata uğradığı durumlarda beliren, diğer dönemlerde ‘uyuyan’ bir bakteri. Dolayısıyla bu ihtimal var.”
Şık makalesiyle, bir ekosistemin çökmesinin karşımıza çıkaracağı sorunları herkesin az çok bildiği “kolera imgesi”ni kullanarak insanların zihin dünyasında canlandırmak istediğini söylüyor:
“Bu durumda kolera salgını oluşur diyemeyiz ama olmaz da diyemeyiz. Ancak bunu bir risk faktörü olarak dikkate almak zorundayız. Kolera bakterisi kitinle beslenir ve denizdeki planktonik copepod denen canlılara yerleşebilir. Bangladeş’te bunlar binlerce yıl ekosistemin bir parçasıydı. Ancak 1817’de Sundarbans’ta olduğu gibi deniz suyunun içme sularına karışmasıyla dünyaya yayılan salgın gibi bir durumun bir daha ortaya çıkmayacağını söyleyemeyiz.”
Bülent Şık, sintine ve balast sularının da yabancı virüs ve bakterileri bir ortamdan diğerine sürekli olarak taşıdığını hatırlatarak uyarıyor.
Prof. Varol da, Dr. Şık gibi müsilajın kolera veya benzeri salgınlara yol açma riskinin bulunduğunu düşünüyor. Vibrio türü mikroorganizmaların özellikle kanalizasyonun doğrudan akıtıldığı yerlerde, sıcaklık da uygunsa üreyeceğini, planktonların ise bunlar için iyi bir besin yeri olduğunu belirten Varol, müsilaj tabakasının salgın yaratabilecek mikroorganizmalar için besiyeri olma potansiyelini ifade ediyor.

Davalar ve Protestolar Fark Yarattı mı?
40 yıldır Çorlu’da yaşayan Dr. Ömer Güven, geri dönüşü çok zor bir sürecin içinde oldukları kanısında. Bütün kirleticiler bir anda kaldırılsa bile nehrin kendini temizlemesinin en az 20 yıl alacağını dile getiriyor, ancak denetimin önemine de dikkat çekiyor. OSB’lerin dışında, tekstil boyaları, plastik, sentetik deri gibi pek çok kirletici sektörden fabrikaların kullandığı tüm kimyasalların atık sularının halen özellikle geceleri derelere salındığını ifade eden Güven, Velimeşe tarafında, Çerkezköy’den Türkgücü’ne oradan da Lüleburgaz’a kadar E5 Karayolu üzerinde konuşlanan yaklaşık 8 bin civarı sanayi tesisinin denetlenmediğinden şikayetçi.

Tıpkı Nilüfer gibi Ergene’nin de üstünün betonla örtülerek, bir atık kanalı halinde akıtmak istendiğini duyduklarını anlatan Güven, yıllardır bölge halkı olarak çok mücadele verdiklerini, mitingler, eylemler, imza kampanyaları yapıp davalar açtıklarını ancak bir arpa boyu bile yol alınmadığını anlatırken de hayal kırıklığını gizleyemiyor.
Açılan davalardan en önemlilerinden biri, halen devam eden Marmara Denizi’ne yapılan derin deşarj davası. 2021’in aralık ayında, ikisi Adalı bilim insanı Sera Marshall ve aktivist Derya Tolgay olmak üzere 18 vatandaş, Ergene Derin Deniz Deşarj A.Ş.’ye avukat Tunç Lokum’un gönüllü avukatlığını üstlendiği bir dava açtı. Bazı uzmanlar ve çoğu aktivist, Marmara’daki 2021 müsilaj krizinden Ergene derin deşarjını sorumlu tutuyor. Deşarjın hemen ardından görülen toplu balık ölümleri, birkaç ay sonra da yüzeyi de kalın bir tabaka halinde kaplayan müsilaj bu şüphelerinin boşuna olmadığını gösteriyor onlara göre.
Dört yıldır süren dava, bilirkişi ücretine takılmış, çünkü talep ettikleri analiz ve ölçüm masrafları ve keşif için başvuruculardan kara testleri için 296 bin 520 TL, deniz testleri içinse 1 milyon 200 bin TL’yi ödemeleri istenmiş. Oysa tüm bu sonuçlar halihazırda Çevre Bakanlığı’nda, üniversitelerde, TÜBİTAK’da bulunuyor. Lokum, mahkemeden sonuçları bakanlıktan talep etmesini istediklerini ancak şirketin başında bulunan Tekirdağ Valiliği’nin bunların dosyaya girmesini şu ana kadar engellediğini anlatıyor ve o da Prof. Varol ve diğerleri gibi soruyor: “Filtrelenen ve temizlenen su fabrikalarda veya tarım arazilerinde kullanılmak yerine neden 4.5 km uzağa borularla taşınıp 45 metre derinde denize boşaltılıyor? Madem arıtma o kadar iyi, neden yeniden kullanmıyorsunuz?”

Derin deşarja ilişkin bir başka dava ise talebe rağmen hiç açılmadı. 2014’te henüz inşaat başlamamışken, o dönem Türkiye Barolar Birliği Çevre ve Kent Hukuku Komisyonu başkan yardımcısı olan, çevre aktivisti Av. Bülent Kaçar, projenin tümü için toptan bir “ÇED Olumlu” kararı verildiğini anlatıyor. Ancak proje kapsamındaki her bir atık su arıtma tesisi için tek tek bu süreç işletilmeli. Ayrıntılı bir rapor yazarak Tekirdağ Belediyesi başta, tüm Marmara’ya kıyısı olan belediyeler ve Trakya Belediyeler Birliği’nin acilen itiraz ederek davalar açmasını talep etmişler ancak bu hayata geçirilmemiş. Belediye bunun yerine bölgedeki sanayi tesislerine Meriç Nehri’nden su tahsisi projesini desteklemeyi tercih etmiş.

Trakya’daki OSB’lerin monolitik olmadığını, içlerinde ağır sanayi firmaları, cam, ilaç sanayi, tekstil, boya firmalarının bulunduğunu da hatırlatan Lokum, “Bunların tek tek arıtması özel prosedürlerle, kompleks biçimde yapılmalı. Ama hepsini bir kaba döküp arıttık diyorlar, böyle olmaz” diyor.

Bir diğer dava da Trakya, Doğu Marmara, Bursa, Balıkesir, Çanakkale ve Bilecik’i kapsayan İstanbul Metropolitan Alan Projesi olarak bilinen 1/100.000’lik Trakya bölgesi, 10.000 ve 25.000 ölçekli Ergene Havzası Çevre Planı hakkında açıldı. Belediyeler destek olmasa da Kaçar ve meslektaşları dava sonucu bazı misyon ve vizyon maddelerini iptal ettirdi. Ancak Bakanlık, iptal edilen hükümlerin uygulanmasına ve işletmelere ruhsat vermeye devam etti. Kaçar, Edirne 25.000’lik çevre düzeni planının da belediye meclisindeki iktidar-muhalefet karşıtlığına kurban olduğunu söylüyor.

Tarım Faaliyetleri Kirlilikten Hem Etkileniyor Hem Onu Besliyor
Meriç-Ergene Havzası’nda halen yoğun şekilde yapılan tarım faaliyeti de hem kirlilikten etkileniyor hem de buna katkı veriyor. Bağımsız çiftçilerin kimyasal gübre ve tarım ilacı kullanımına ilişkin istatistiki bilgi yok, diğer ziyaret ettiğimiz tarım kentlerinde olduğu gibi etkin bir denetim de bulunmuyor.
Çevre Bakanlığı İl Müdürlüğü ise 2023 raporu için yaptığı incelemelerde toprak kirliliğine ilişkin kirlenmiş saha bulamadıklarını bildirmiş.

Bizim bölge halkı ve uzmanlarla görüşmelerimiz ise bu kimyasalların yoğun ve belirlenen sınırları aşarak kullanıldığını, bunların toprağa ve yer altı sularına sızarak veya bu faaliyetlerin sonucu çıkan atık suların Ergene’nin yan kollarına bırakıldığını gösteriyor.
Tekirdağ’ın toplam 6 milyon 313 bin dekarlık alanının %65,81’i (4 milyon 154 bin dekar) işlenen tarım arazisi, %5,3’ü (334 dekar) mera alanı. 786 bin kilometrekarelik tüm Türkiye coğrafyasında işlenebilen tarım toprağı ise %35.

Türkiye’nin toplam yıllık 2 milyon 215 bin ton olan yağlık ayçiçeği üretiminin %18,03’ü, 140 bin ton olan kanola üretiminin %32,76’sı, 14.5 milyon tonluk durum buğdayı (ekmeklik buğday) üretiminin %7,08’i Tekirdağ’da gerçekleşiyor. Ayrıca Meriç yakınlarında 25.5 dekar alanda yapılan çeltik ekiminden ortalama 20 bin ton ürün elde ediliyor. Bölgede 41 bin dekarlık zeytinlikte zeytincilik ve 25 bin dekarın üzerinde de ceviz üretimi yapılıyor.
Bu üretimlerin önemli bölümü de küçük işletmeler ve/ya aile gruplarınca yapılıyor. Bölgede konuştuğumuz çok sayıda kişi, tarımda yer altı sularına erişimin giderek zorlaştığından Ergene nehrini özellikle çeltik gibi bol su isteyen ürünler için sulama suyu olarak kullandıklarını anlattı. Toprağa ağır metal taşıyan ve onu kuraklaştıran bu durum, üretilen ürünleri de sağlık açısından şüpheli hale getiriyor.

Ancak Prof. Halim Orta, bölgede pestisit ve herbisit kullanımının çok yoğun olmasına rağmen, tarımsal faaliyetin denizel kirlilik ve müsilaj oluşumunda fazla abartılmaması gerektiğini düşünüyor. Ona göre, Trakya’da tarımda kullanılan tüm kimyasallar, doğaya birkaç deri ve tekstil fabrikası kadar zarar vermez.
Belgeselci Nejla Demirci: Ergene Benim Kız Kardeşim, Mücadeleden Vazgeçmeyeceğim
Ergene’yle ilgili son durağımız İstanbul. Yönetmen, belgeselci Nejla Demirci ile Ergene Nehri’nin başına gelen ve yarattığı çevre felaketinin vahametini “Gündöndü” adlı belgeseliyle 2012 yılında çarpıcı bir belgeselle ortaya koymuştu.
Onunla belgeseli neden yaptığını, süreç içinde neler yaşadığını ve belgeselin yayınlanma aşamasını konuşuyoruz.
Gençliğinde bir süre yaşadığı bölgeye karşı bir görev olarak gördüğü belgeseli neden yaptığını şöyle anlatıyor: “Ergene’nin durumu beni çok tetikledi. Katran akıyor, simsiyah. Balık ölümleri, insanların çaresiz hali. ‘Nasıl olabiliyor da bir ülke, şahane bir coğrafyanın ortasında, ona hayat veren bir nehri bu kadar mahvedebiliyor’ diye düşündüm. Kelimelerle anlatmak zor, göstermek istedim.” Nehir için uğruna mücadele etmeye değen “kız kardeşim” tanımını kullanan Demirci, Ergene’nin Türkiye’nin neoliberal politikalarının ilk kurbanı olduğunu söylüyor: “O nehir kapitalizmin kiri, pisliği. Kapitalizmin nasıl bir şey olduğunu çocuklarımıza öğretmek istiyorsak elinden tutup Ergene’ye götürelim. İşte kapitalizm bu kadar kirli, vahşi bir şey. “
NEJLA DEMİRCİ, YÖNETMEN
Belgesel için görüntüler çekerken, OSB yöneticilerinden, kolluk güçlerinden ve kim olduğunu bilmediği kişilerden çok sayıda tehdit almış, hatta bir kamyonun üzerlerine sürülmesi yüzünden hayati tehlike atlatmışlar. Üstelik sadece kendisi değil, konuştuğu bölge halkı da evlerine kadar giderek tehdit edilmişler.
Demirci ve arkadaşları, belgesel için hem nehir suyundan hem de çevresinde yetişen ürünlerden numune alarak çok sayıda parametrenin testini yaptırmış. “Hiçbir canlı bu suda yaşayamaz, bu ürünlerin yenmesi sağlıklı değil” sonucu çıkmış.
NEJLA DEMİRCİ, GÜNDÖNDÜ BELGESELİ’NDEN…
En çok, iki yıllık zor bir çalışmanın ardından ortaya çıkan belgeselin, Türkiye’nin ve dünyanın pek çok bölgesinde gösterilmesine ve ödül almasına karşın, Trakya’da bir kez bile gösterilmemesine üzülüyor.
Kirliliğin toplumdaki etkilerine de odaklanan Demirci, doğayı katletmenin aynı zamanda bir kültürü yok etmek anlamına da geldiğini belirtiyor; bundan en çok zarar görenlerin de mülksüzleşen ve işçi oldukları fabrikalarda ağır koşullarda, sağlıklarını kaybederek çalışan çiftçiler, kadınlar, çocuklar ve Roman toplumu gibi dezavantajlı kesimler olduğunu anlatıyor.
Altıncı Bölüm: MARMARA DENİZİ’NDE KIRMIZI PAZARTESİ-6/ Hikayenin başlangıç noktası: İstanbul
Bu araştırma JournalismFund Europe’un desteğiyle hazırlanmıştır.
Bu çalışma ilk kez aposto’da yayımlanmıştır.
Seride yer alan diğer haberler şu şekilde:
Marmara Denizi’nde Kırmızı Pazartesi-1 / Unutulan Müsilaj Derinlerden Sesleniyor
Marmara Denizi’nde Kırmızı Pazartesi-2 / Sahaya Çıkan Bilim İnsanları Anlatıyor: 4 Yıl Sonra Deniz Bize Ne Söylüyor?
Marmara Denizi’nde Kırmızı Pazartesi -3 / Denizini Yitiren Deniz Kentleri: Balıkesir, Bandırma, Bursa
Marmara Denizi’nde Kırmızı Pazartesi-4 / Denizini Yitiren Deniz Kentleri: Çanakkale, Kocaeli
Marmara Denizi’nde Kırmızı Pazartesi-6/ Hikayenin Başlangıç Noktası: İstanbul
Marmara Denizi’nde Kırmızı Pazartesi -7/ Planlar, Kurumlar, Kurullar Neden İşlemiyor?
Marmara Denizi’nde Kırmızı Pazartesi-8 / Çözüm Nasıl, Nerede?


